Find
17. Juli 2025

Eurex

New liquidity program for EURO STOXX 50 Index Options off to a flying start

In July, Eurex fully implemented its new, first-of-its-kind Liquidity Provider (LP) program. The initiative aims to further enhance liquidity and efficiency in the flagship EURO STOXX 50® Index Options (OESX and SX5E).Strong market-maker support from the community boosted the scheme, leading to a significant increase in liquidity coverage and order book interactions. In this article, Strahinja Trenkic, Quantitative Analyst in Market & Liquidity Analytics at Eurex, shares his thoughts on the scheme and its early promise.


Strahinja Trenkic

How has the launch of the new OESX LP scheme progressed so far ?

The rollout has gone very well. We spent two months testing prior before fully implementing the scheme on 1 July 2025, giving us and the LPs the chance to test systems and deploy the functionality. The response from the LPs has been outstanding. First and foremost, I want to thank all our partners involved in this scheme. It has been demanding period of testing and investing in systems to meet the new performance standards. Everyone at Eurex sincerely appreciates the proactive and constructive approach taken by our counterparts. Their engagement is a clear testament to the importance and quality of what this new program offers, as well as a genuine commitment to the ongoing success of our markets.

What were the primary business goals behind the design of the scheme ?

From the outset, our priority has been to place end clients' needs at the center of efforts to reshape the liquidity profile of the EURO STOXX 50® Index Options. We engaged proactively with market participants to gain a deeper understanding of the challenges they face. These conversations helped us identify four core areas with the greatest potential for improvement. Here are our goals and key components of the new scheme: 

What impact is the new LP scheme expected to have on LPs and other market participants ?

The new LP Framework is designed to deliver value along two key dimensions.

First, we aim to ensure that clients have access to a broad and diverse set of quoted instruments, supporting idea generation and positioning needs across all expiries and strikes. A wide distribution of priced strikes is essential in options trading – not only for execution purposes but also for improving the quality of available data that supports trading decisions, hedging strategies, and risk management.

Second, in a price/time priority model, having multiple LPs actively competing on the same instruments across the curve leads to superior client outcomes. This layering of quoted interest leads to more efficient price discovery, narrower bid-offer spreads, and, ultimately, a stronger and more reliable order book.

What were the most challenging design considerations during the development of the scheme ?

This is a huge change to the liquidity provider framework – the biggest we have seen in more than eight years. It requires a shift in how we approach developing liquidity in our options markets, a completely new incentive structure, and performance metrics. We had a clear vision from the start, but this needed to be accompanied by extensive analysis, consultations and workshops, both internally and externally.  

Securing the engagement and alignment of our LPs was a critical step in realizing our vision. They are ultimately the ones shaping the quality and depth of our markets.  

We were fortunate to have open, constructive, and highly productive discussions with the market-making community, all driven by a shared commitment to delivering the best possible trading experience for end clients.  

United by a clear, user-focused objective, we were able to overcome design and implementation challenges through collaboration and mutual understanding. 

Can you share any measurable outcomes or client feedback from the trial period ?

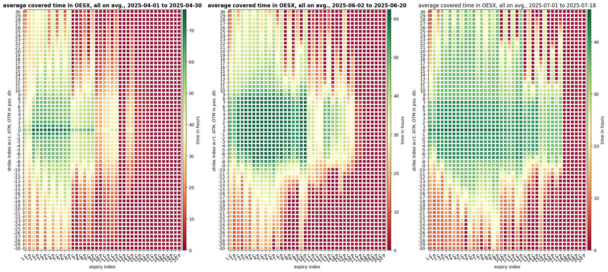
The chart below illustrates the expansion of market maker coverage observed across the expiration (X-axis) and relative moneyness (Y-axis) dimension of EURO STOXX 50® Index Options on the back of the new program.  

The average daily number of quoted instruments according to our standard has increased by more than 1,000 since the start of the testing phase, and liquidity gaps are visibly closing on the coverage heatmap.

Market-maker footprint

Clients have shown their appreciation for this new liquidity picture in the most meaningful way – by trading across the entire curve. Since testing began, all expiries within two years have been traded on-screen. On 18 June, over 6,700 contracts were traded on the furthest listed weekly expiry, an area of the curve where we previously had no trading or quotes before to the program.  

The order book ratio in July is the best of the year so far, with 40 percent of all trading occurring in the order book, compared to a 35 percent yearly average. Outright contracts represent 47 percent of the traded volumes in the order book compared to 41 percent in May when testing began. 

We are pleased to observe that the Agency account – our proxy for end-client flow – is behaving more aggressively, capturing 31 percent of the aggressive volume in outrights during June and July, compared to 24 percent in the period January to May 2025. This is a crucial KPI for us, as it shows the willingness to take the visible liquidity in the order book as executable, an indication of options pricing quality. 

Eurex actively promotes these developments globally. Our efforts to raise awareness and gather feedback across the trading community will intensify further over the summer. The changes to the liquidity profile of the EURO STOXX 50® Index Options support market quality in an increasingly competitive environment.

How do you expect the liquidity landscape to evolve over the coming years ?

Eurex is firmly committed to supporting transparent, efficient, and easily accessible order books as a core gateway into our markets, offering low barriers to entry and high liquidity standards for all types of market participants. 

The introduction of the new Liquidity Provider Framework represents a significant investment in this ecosystem, one we believe will deliver long-term benefits. With quoting quality at an all-time high and increased global retail participation, we are building an environment primed for broader engagement and sustained growth. Our goal is to expand opportunities for all participants and, in doing so, increase the overall volume and use case of index derivatives. 

Again, this project would not be possible without the commitment and professionalism of our LPs. Their role in deepening and strengthening Eurex's liquidity landscape is indispensable. Looking ahead, we see even closer collaboration as we are united by a shared vision to build the most effective and efficient derivatives markets in the world.

Marktstatus

XEUR

Das Markt-Statusfenster gibt Hinweise  zur aktuellen technischen Verfügbarkeit des Handelssystems. Es zeigt an, ob Newsboard-Mitteilungen zu aktuellen technischen Störungen im Handelssystems veröffentlicht wurden oder in Kürze veröffentlicht werden.

Weiterführende Informationen zur Handhabung von Störungen finden Sie im Emergency Playbook, das Sie auf der Eurex Internetseite unter Support --> Emergencies and safeguards (nur in Englischer Sprache verfügbar) finden. Detaillierte Informationen zur Kommunikation während einer Störung, zu Wiedereröffnungsmaßnahmen und Handlungsempfehlungen für den Order- und Transaktionsabgleich finden Sie in den Kapiteln 4.2, 4.3 bzw. 4.4. Konkrete Informationen bezüglich der jeweiligen Störung werden während der Störung über Newsboard Message veröffentlicht. 

Wir empfehlen dringend, aufgrund der Hinweise im Markt-Statusfenster keine Entscheidungen zu treffen, sondern sich in jedem Fall auf dem Produktion Newsboard  umfassend über den Vorfall zu informieren.

Das sofortige Update des Markt-Status erfordert eine aktivierte und aktuelle Java™ Software für den Web Browser.